重要新闻
  • 白春礼《人民日报》文章:牢记历史责任 实现“四个率先”

    今年7月17日,习近平同志在中国科学院考察工作并发表重要讲话。这一重要讲话,着眼世界科技发展大势,围绕创新驱动发展战略,指明了我国科技工作的发展方向和战略任务,立意宏大高远,内涵丰富深刻,具有十分重要和深远...2013-08-23

  • 青岛储能研究院在全固态聚合物锂电池研究取得重要进展

    近日,依托中国科学院青岛生物能源与过程研究所建设的青岛储能产业技术研究院成功开发出新一代全固态聚合物锂电池,相关研究成果分别发表在Scientific Reports, Chem. Comm., Progress in Polymer Science和Journal of the ...2014-09-11

  • 青岛能源所提出利用丝状微藻产油新思路

    利用能源微藻生产生物柴油,其核心在于大规模、高效、低成本培养微藻以获得大量的生物质。目前研究产油藻主要集中在单细胞微藻为主,在室外规模培养时,由于敌害生物(主要是原生动物)对这些尺寸细小(通常直径在1-10...2013-08-15

  • 青岛能源所召开领导班子民主生活会

    8月28日,中国科学院青岛生物能源与过程研究所召开2014年度领导班子民主生活会。中国科学院沈阳分院党组书记王启尧、组织人事处处长毕伟出席了会议。研究所所长刘会洲、党委书记兼副所长隋红建、副所长彭辉、副所长兼纪委书...2014-08-29

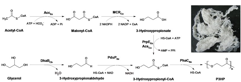
  • 青岛能源所生物法合成可降解塑料研究取得新进展

    传统塑料主要来源于石油,且无法自然降解,易造成污染。用生物技术生产可降解塑料替代石油基塑料,可从根本上解决上述问题,已被列入国家优先发展的高技术产业化重点领域。聚3-羟基丙酸(P3HP)是一种具有广阔发展前景的...2013-08-14

  • 《中科院“率先行动”计划》若干问题问答

    2014年7月7日,国家深化科技体制改革和创新体系建设领导小组第7次会议审议通过了《中国科学院“率先行动”计划暨全面深化改革纲要》(简称《“率先行动”计划》)。近日,习近平、李克强、张高丽、刘延东等党和国家领导人对...2014-08-20

  • 白春礼《人民日报》文章:沿着创新创新再创新的方向率先前进

    习近平同志在中国科学院第十七次院士大会、中国工程院第十二次院士大会上发表的重要讲话,总结了我国科技发展的历史成就和经验教训,分析了科技创新在人类文明发展进程中的重大意义,阐述了全面建成小康社会、实现中华民族...2014-07-22

  • 青岛能源所提出微藻属内精确种质鉴定新策略

    近日,中国科学院青岛生物能源与过程研究所功能基因组团队博士研究生魏力、辛一等人以一类高含油的海水微藻微拟球藻(Nannochloropsis)为模式,通过对Nannochloropsis属内的6个已知藻种共7个藻株的叶绿体和线粒体基因组进...2013-08-12

  • 天津市领导考察青岛能源所

    7月15日,天津市人民政府副秘书长袁树谦、科委主任赵海山、副主任李宝纯等一行九人在中科院北京分院副院长李静等陪同下到中国科学院青岛生物能源与过程研究所考察交流。青岛能源所所长刘会洲、党委书记隋红建、副所长彭辉等...2014-07-16

  • 青岛能源所在计算机辅助蛋白质设计取得新进展

    蛋白质作为药物、生物制剂和催化剂被广泛应用,其稳定性对于生物技术应用具有重要影响。通常,蛋白质的稳定性可以通过定向进化、序列同源比对和理性设计来完成。上述方法都有各自优势和缺点,在实际应用中方法的适用性和成...2013-08-02

  • 青岛能源所应邀在Biotechnology Advances发表嗜热菌功能基因组学综述

    日前,中国科学院青岛生物能源与过程研究所功能基因组团队负责人徐健研究员应邀在Biotechnology Advances发表综述文章“Dissecting and engineering metabolic and regulatory networks of thermophilic bacteria for biofu...2013-07-25

  • 方新出席青岛能源所七一庆祝大会

    7月8日,中国科学院党组副书记方新出席中国科学院青岛生物能源与过程研究所“七一”庆祝大会,与200余名党员、管理干部共同庆祝党的93岁生日。会上,方新为青岛能源所获得2014年度先进党支部的获奖集体颁奖,并为参加会议的...2014-07-09

  • 青岛能源所学习传达习近平总书记讲话精神

    7月22日,中国科学院青岛生物能源与过程研究所组织研究员、副处长以上管理骨干、职代会主席团成员等传达学习近平总书记在视察中科院期间的讲话精神和中科院夏季党组扩大会精神,并就在全所开展科研生产安全大检查工作进行动...2013-07-23

  • 青岛能源所3H公寓正式启用

    7月8日,中国科学院青岛生物能源与过程研究所“3H”工程人才公寓正式投入使用。中科院党组副书记方新出席启用仪式,并与青岛能源所所长刘会洲、党委书记隋红建共同见证公寓启用。青岛能源所副所长彭辉主持启用仪式。2014-07-09

  • 青岛能源所在嗜热菌微进化研究取得新进展

    微进化是生命适应性进化的起点。微进化过程起始于通常不可遗传的对环境变化的应激反应,而终究导致了可稳定遗传的突变。但是“微进化”过程在高温等极端环境下如何发生等问题一直悬而未决。该问题的解答对于生命起源研究、...2013-07-23

  • 青岛能源所在木质纤维原料预处理及高效利用方面取得系列进展

    近日,中国科学院青岛生物能源与过程研究所牟新东研究员带领的中国科学院生物基材料重点实验室绿色化工技术研究中心,利用廉价、可再生的木质纤维原料(玉米秸秆、玉米芯、纸浆等)开展了预处理分离及各组分高效利用方面的...2014-06-30

  • 习近平在中国科学院考察时强调深化科技体制改革增强科技创新活力真正把创新驱动发展战略落到实处

    中共中央总书记、国家主席、中央军委主席习近平17日来到中国科学院考察工作。他强调,科技兴则民族兴,科技强则国家强,要结合实际坚持运用我国科技事业发展经验,积极回应经济社会发展对科技发展提出的新要求,深化科技体...2013-07-18

  • 中科院动员部署全院党的群众路线教育实践活动

    7月15日,中国科学院认真贯彻落实中央党的群众路线教育实践活动工作会议和中央政治局专门会议精神,以视频会议的形式对全院党的群众路线教育实践活动进行了动员部署。中科院院长、党组书记、院群众路线教育实践活动领导小组...2013-07-18

  • 青岛能源所在(海洋)生物质能源材料研究取得系列新进展

    生物质材料具有来源丰富、可再生等优点,在可持续能源材料开发领域具有重要的应用前景。以海洋中丰富的海藻多糖、甲壳素等生物质材料为基础,研究开发高性能的能源材料具有重要的生态、经济和社会效益。 2013-07-01

  • 青岛能源所揭示产油微藻转录因子调控网络

    自然界中的一些微藻因产油量高、生长速度快、环境适应性强,并可在边际土地上用海水或废水培养,因此被视作潜在的新型能源作物之一。但目前种质选育的关键瓶颈之一是对于微藻产油调控机制的认识基本空白。近日,中国科学院...2014-06-27