青岛能源所揭示精准控糖提升酵母乙醇产量的代谢奥秘
乙醇作为一种清洁可再生能源,在工业生产中通常通过分批发酵获得。由于高糖浓度条件往往会诱导酵母细胞产生渗透压及氧化应激反应,抑制乙醇合成并增加副产物甘油的生成,从而限制乙醇的生产效率。近日,青岛能源所智能生物制造研究组王冠副研究员通过多组学联合分析,揭示了在精准控制葡萄糖浓度条件下,酿酒酵母如何优化资源分配,显著提高乙醇产量的分子机制。
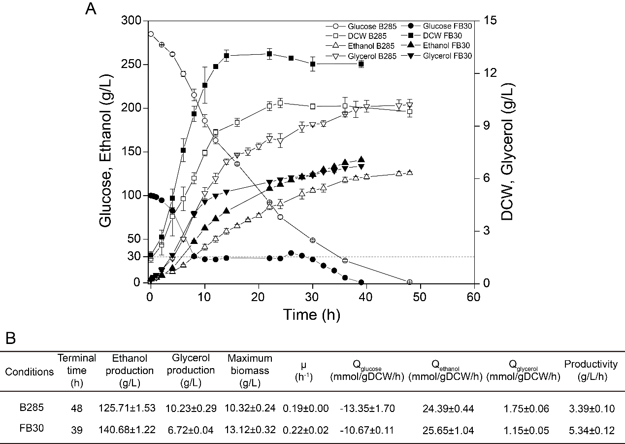
研究团队此前基于拉曼光谱与智能反馈补料技术建立了高精度控糖系统,发现将发酵过程中的葡萄糖浓度稳定维持在30 g/L时,乙醇产量相比传统分批发酵显著提高(图1)。然而,这一工艺优化背后的细胞代谢调控机制尚不清楚。为深入揭示酿酒酵母在精准控糖环境下的代谢适应规律,研究人员整合转录组、蛋白质组、代谢组和代谢通量组学数据,系统比较了常规分批发酵与补料分批发酵两种策略下酵母的代谢状态。

图1 5 L生物反应器中酿酒酵母分批发酵与补料分批发酵的生理特性分析
研究结果显示,在葡萄糖控制的补料分批发酵条件(FB30)下,核糖体相关基因及蛋白酶体蛋白显著下调(图2),表明细胞通过降低蛋白合成与降解速率,减缓了蛋白质周转,从而节约了大量能量与前体物质。这一代谢重编程行为被认为是细胞资源优化分配的关键策略,即减少维持性代谢消耗,将更多代谢资源投入到生长与产物生成之中。

图2 转录组和蛋白组的差异表达分析
进一步分析发现,在精准控糖条件(FB30)下,酵母细胞通过下调糖酵解关键酶基因(如PFK、PDC)及甘油合成途径基因(GPD1、GPP1/2),显著减少了乙酸和甘油等副产物的生成,从而将更多碳流导向乙醇合成。同时,细胞上调高亲和力葡萄糖转运蛋白(HXT6/7)及其辅助蛋白AGA2的表达,增强了低糖环境下的底物摄取能力。应激响应层面,PAU基因家族在高乙醇浓度下被激活,而热休克蛋白、海藻糖合成以及氨基酸和糖醇类抗逆代谢途径相关基因的表达则显著下调。这表明,酵母在精准控糖环境中有效避免了高糖应激,维持了代谢稳态,促进了乙醇的高效积累(图3)。

代谢通量分析结果进一步表明,葡萄糖受控条件(FB30)下,更多碳流经糖酵解途径生成ATP和NADH(图4)。在减少高糖应激导致的能量消耗与副产物合成的同时,酵母将过量NADH通过乙醇生成反应高效消耗,维持了细胞的氧化还原平衡,从而促进乙醇生成速率与产量的双重提升。

图4 不同控糖策略下能量代谢分析
该研究首次从多组学层面系统阐明了精准控糖提升乙醇产量的代谢调控机制,揭示了酿酒酵母在碳源受限环境下通过抑制蛋白周转、优化能量分配及重塑碳流走向实现高效代谢输出的规律。研究提出了多个潜在的代谢工程改造靶点,为通过系统代谢优化与适应性进化策略进一步提升酵母乙醇耐受性和生产性能提供了理论依据。这一成果不仅深化了对酵母代谢调控网络的系统理解,也为工业乙醇发酵过程的精准优化与智能化控制提供了科学指导,对推动绿色能源产业的高效与可持续发展具有重要意义。
相关研究成果以“Multi-omics elucidation of resource allocation for enhanced ethanol production via precise glucose control in anaerobic Saccharomyces cerevisiae fermentation”为题,发表于生物技术与生物工程领域期刊Synthetic and Systems Biotechnology上。论文第一作者为青岛能源所博士后刘志豪和华东理工大学硕士研究生郑翎宏,通讯作者为王冠。相关研究得到了山东省泰山学者青年项目、上海市自然科学基金、上海市青年科技启明星计划等项目的资助与支持。(文/图 刘志豪)
原文链接:https://www.sciencedirect.com/science/article/pii/S2405805X25001772
Zhihao Liu#, Linghong Zheng#, Xiaofei Yu, Yingping Zhuang, Guan Wang*. Synthetic and Systems Biotechnology, 2025.
附件下载: